• Предмет: Математика
  • Автор: alinakryuger2002
  • Вопрос задан 8 лет назад

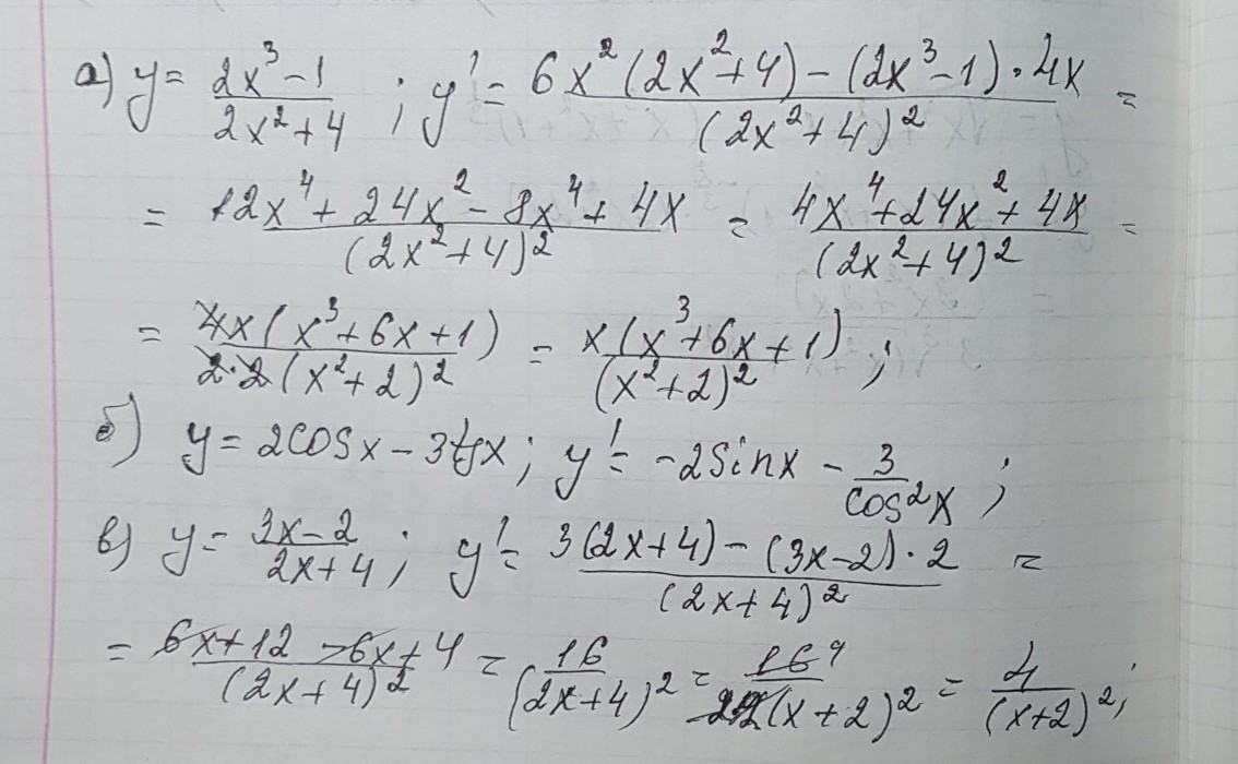
Найти производную функцию :
А) y=2x ^3-1/2x^2 +4
Б) y=2cosx-3tgx
В) y=3x-2/2x+4

Ответы

Ответ дал: 1233090
0
решение задания смотри на фотографии
Приложения:
Вас заинтересует