Помогите , пожалуйста, срочно решить задачки по химии.
1. Определить массу Mg, необходимого для реакции с 36 г О2.
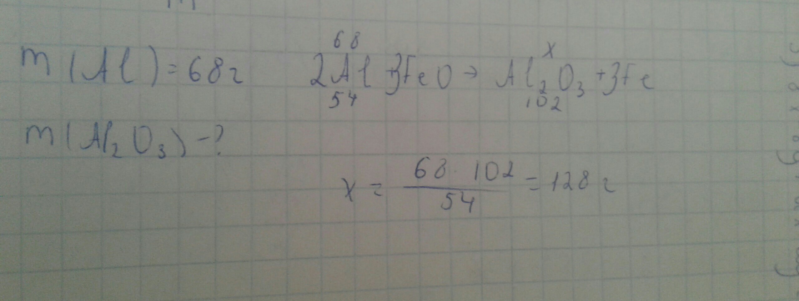
2. Какая масса Al2O3 образуется при взаимодействии 68 г Al c FeO
8 класс
Ответы
Ответ дал:
0
а вот и ответ надеюсь что правильно))
Приложения:
Вас заинтересует
2 года назад
2 года назад
3 года назад
9 лет назад
9 лет назад
10 лет назад
10 лет назад