Ответы
Ответ дал:
0
Ответ:
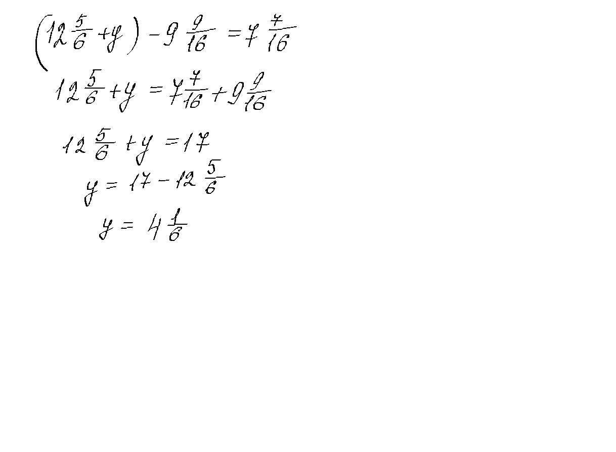
12 5/6+у=7 7/16+9 9/16=272/16 или у=272/16-12 5/6=272/16-77/6
у=(272*3-77*8)/48
у=200/48=4 1/6
Пошаговое объяснение:
Ответ дал:
0
не я решала
Ответ дал:
0
реши пж
Ответ дал:
0
тока доконца
Ответ дал:
0
и ещё можешь решить 1/6+ 2 5/8 +3 3/16
Ответ дал:
0
спасибо
Ответ дал:
0
Ответ:
Пошаговое объяснение:
Приложения:

Ответ дал:
0
выкладывай задание
Ответ дал:
0
1/6*2 5/8*3 3/16
Ответ дал:
0
стой
Ответ дал:
0
перейди по сылке https://znanija.com/task/31050120
Ответ дал:
0
и ты тогда получишь за это 30 баллов
Вас заинтересует
2 года назад
2 года назад
3 года назад
9 лет назад
9 лет назад