• Предмет: Геометрия
  • Автор: vasilina20052007
  • Вопрос задан 8 лет назад

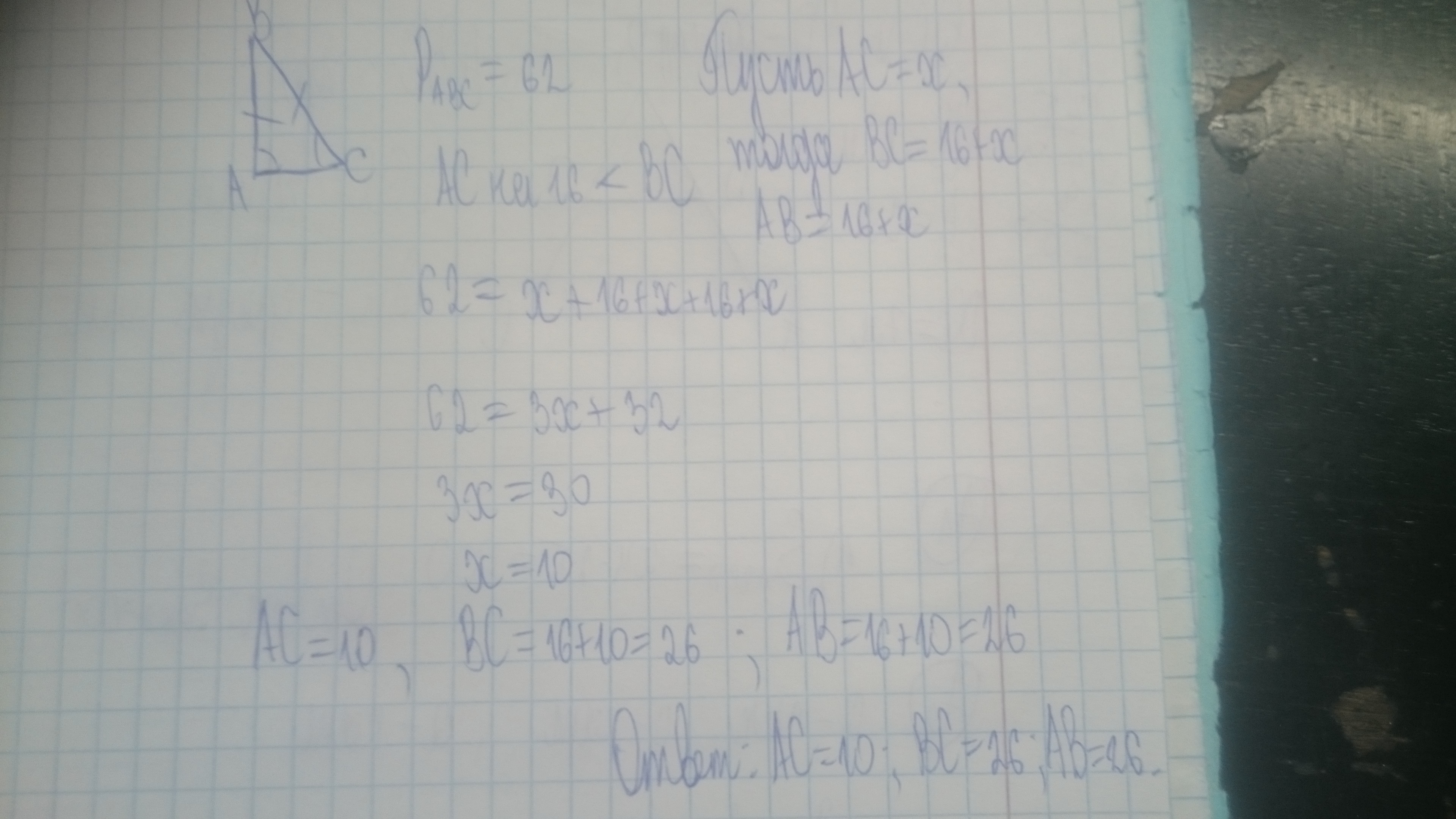
Периметр равнобедренного треугольника 62 см. Основание на 16 см меньше боковой стороны . Найдите все стороны. Помогите пожалуйста 20 баллов

Ответы

Ответ дал: Banchik
0

На рисунке отмечено правильное решение задачи

Приложения:
Вас заинтересует