Помогите с 13 заданием. Нужна программа на паскале и блок схема. Пример по которому нужно сделать в прикрепленных фото.
Приложения:


Ответы
Ответ дал:
0
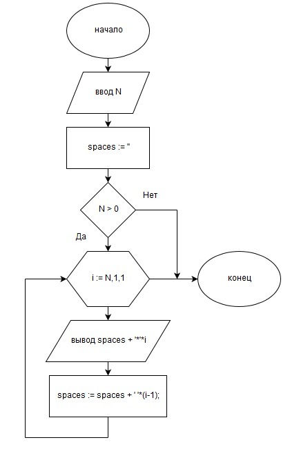
// PascalABC.NET v3.3 1633
begin
var N:=ReadInteger('Введите N: ');
var spaces:='';
if N > 0 then
for var i:=n downto 1 do
begin
writeln(spaces+'*'*i);
spaces+=' '*(i-1);
end;
end.
Приложения:

Вас заинтересует
2 года назад
2 года назад
3 года назад
9 лет назад
9 лет назад
9 лет назад