• Предмет: Алгебра
  • Автор: Аноним
  • Вопрос задан 8 лет назад

Упроститите выражение
а)7√3+19√48-√75
б)(3√3+√12)√3
в)2√5(3-4√80)- 3√5
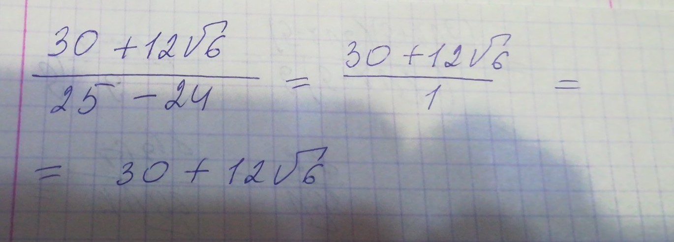
Освободите от иррациональности в знаменателе
а)7
____
2√98

б) 6
____
5-2√6

Заранее спасибо)

Ответы

Ответ дал: alesyaperova
0
Вот решение..........
Приложения:
Ответ дал: Аноним
0
Йоу, благодарю)
Ответ дал: alesyaperova
0
не за что
Вас заинтересует