Найдите неизвестный член пропорции a : 1,8 = 4,9 : 3,6
1) 2,45................. 2) 3 , 5 ..............3) 0 , 7..................4) 5, 4
Пожалуйста с объяснением
Ответы
Ответ дал:
0
.............................
Приложения:

Ответ дал:
0
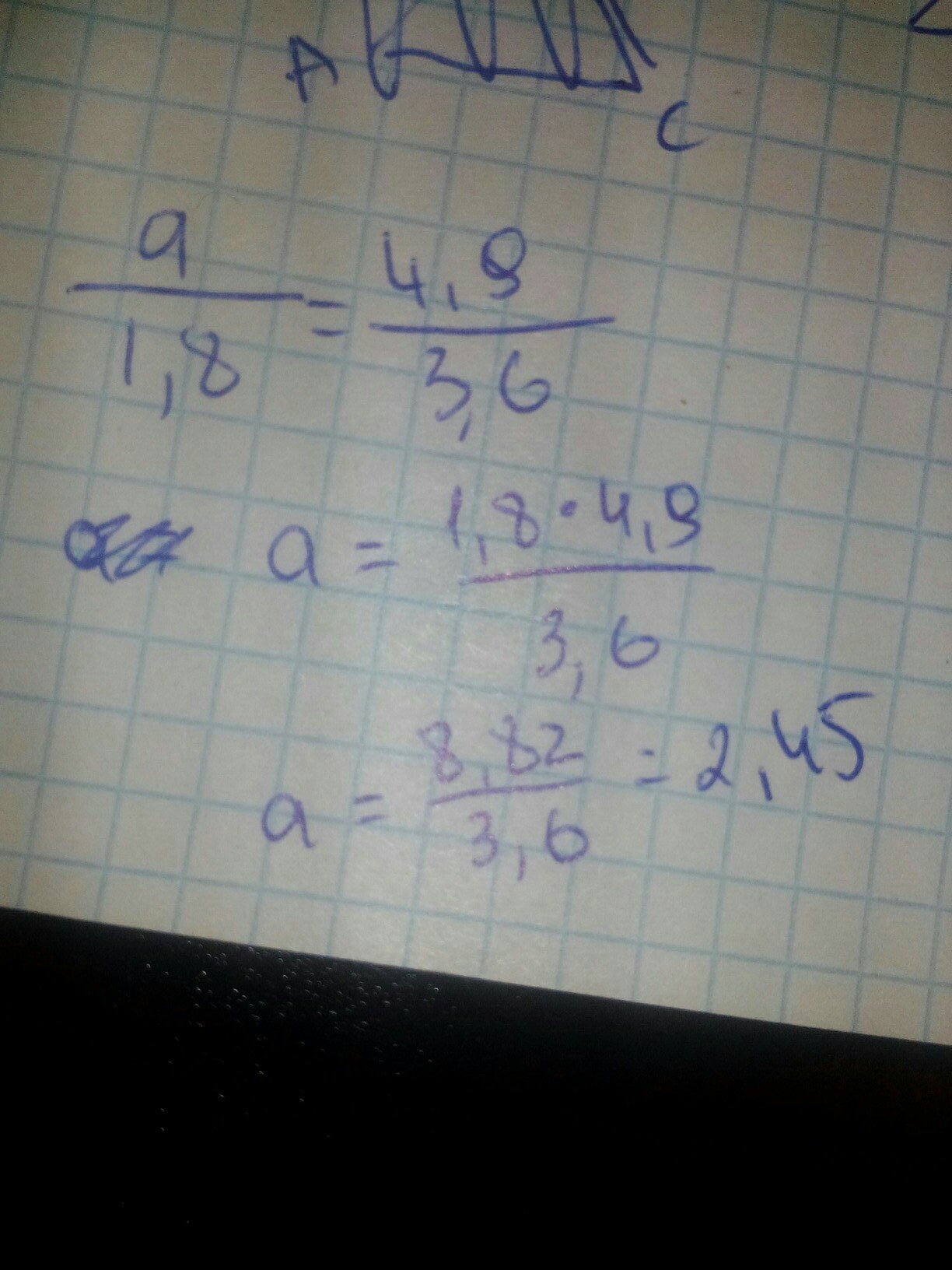
a:1.8=4.9:3.6
a=1.8*4.9/3.6
a=2.45
Ответ a=2.45
a=1.8*4.9/3.6
a=2.45
Ответ a=2.45
Приложения:

Ответ дал:
0
Спасибо
Ответ дал:
0
1.8 умножаю на 8 . 9 получается 1 , 9 , что я делаю не так ?
Ответ дал:
0
там 8.9 нету
Ответ дал:
0
4.9 : 3.6 = 8.9 у меня получается
Ответ дал:
0
с начало все сверху умножаешь ток потом делишь
Вас заинтересует
2 года назад
3 года назад
3 года назад
9 лет назад
9 лет назад
9 лет назад
9 лет назад