• Предмет: Математика
  • Автор: 4Heppyness
  • Вопрос задан 8 лет назад

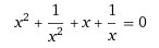
Решите уравнение!Пожалуйста!!!

Приложения:

Ответы

Ответ дал: condescension
0

Ответ:

x=-1

Пошаговое объяснение:


Приложения:
Ответ дал: 4Heppyness
0
Спасибо, бро!
Ответ дал: 4Heppyness
0
Только, почему ты во второй строчке написал х*1/х*х ??
Ответ дал: condescension
0
преобразование дроби для получения наименьшего общего знаменателя
Вас заинтересует