• Предмет: Алгебра
  • Автор: kolbaska705
  • Вопрос задан 8 лет назад

Помогите пожалуйста!!! Если возможно, решите пожалуйста методом рационализации

Приложения:

Ответы

Ответ дал: NeZeRAvix
0

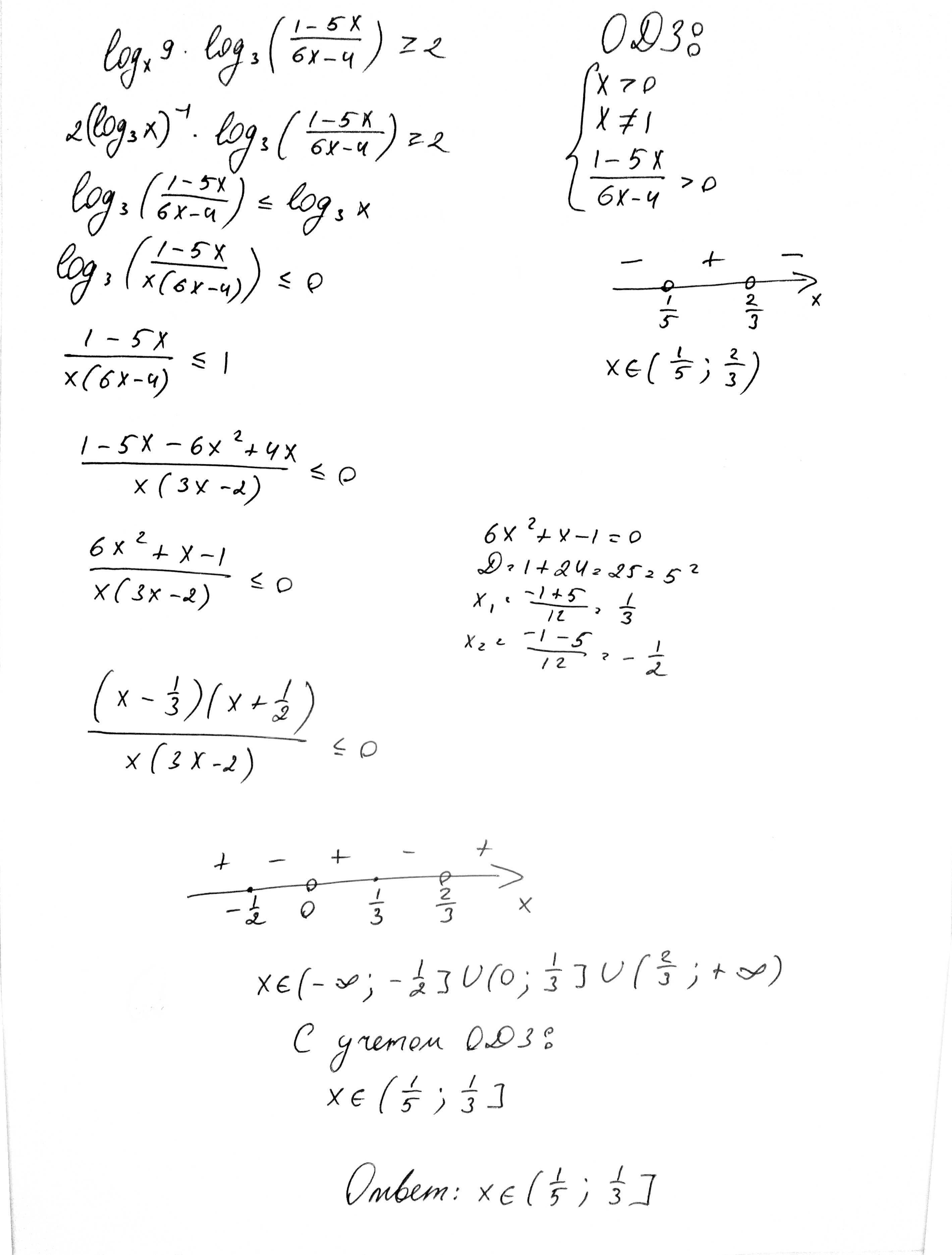
Решение в скане.

Пояснения к переходу со второй строчки к третьей: Выражение log₃x отрицательно на промежутке ОДЗ x∈(1/5; 2/3), поэтому, умножая неравенство на log₃x, переворачиваем знак.

Приложения:
Ответ дал: kolbaska705
0
Спасибо огромное!
Ответ дал: kolbaska705
0
Подскажите пожалуйста, почему Вы в 3 строчке поменяли знак?
Ответ дал: NeZeRAvix
0
Добавил уже объяснение, обновите страницу
Вас заинтересует