• Предмет: Геометрия
  • Автор: 1likaa
  • Вопрос задан 8 лет назад

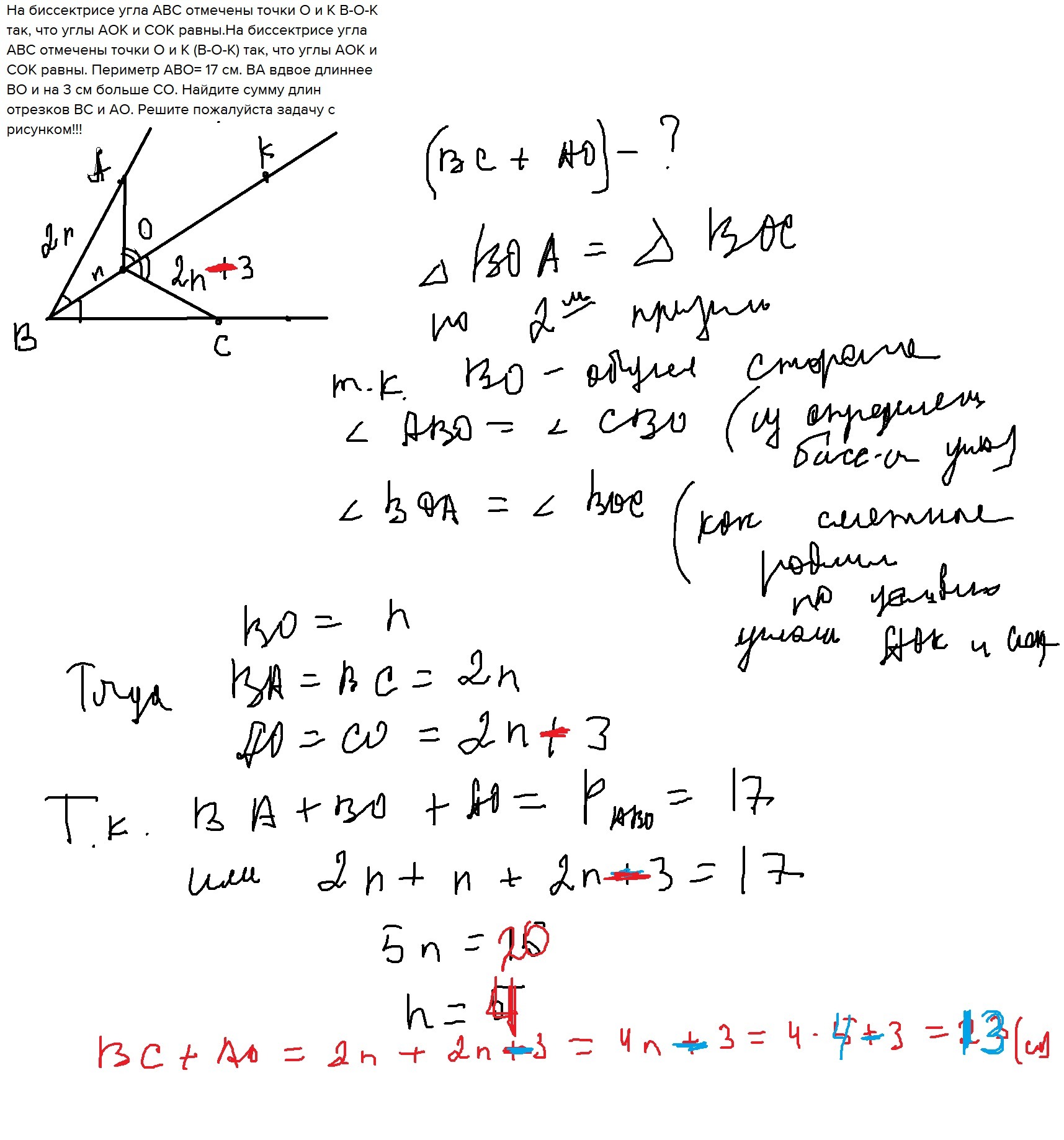
На биссектрисе угла АВС отмечены точки О и К В-О-К так, что углы АОК и СОК равны.На биссектрисе угла АВС отмечены точки О и К (В-О-К) так, что углы АОК и СОК равны. Периметр АВО= 17 см. ВА вдвое длиннее ВО и на 3 см больше СО. Найдите сумму длин отрезков ВС и АО. Решите пожалуйста задачу с рисунком!!!

Ответы

Ответ дал: vikll
0

На биссектрисе угла АВС отмечены точки О и К В-О-К так, что углы АОК и СОК равны.

Приложения:
Ответ дал: 1likaa
0
Не правильно ответ должен быть 16 см
Ответ дал: vikll
0
Может 13см
Ответ дал: 1likaa
0
Да
Ответ дал: 1likaa
0
Но мы так задачи не решаем нам надо дано доказать доказательство
Вас заинтересует