• Предмет: Алгебра
  • Автор: lesha200182
  • Вопрос задан 8 лет назад

Помогите очень срочно

Приложения:

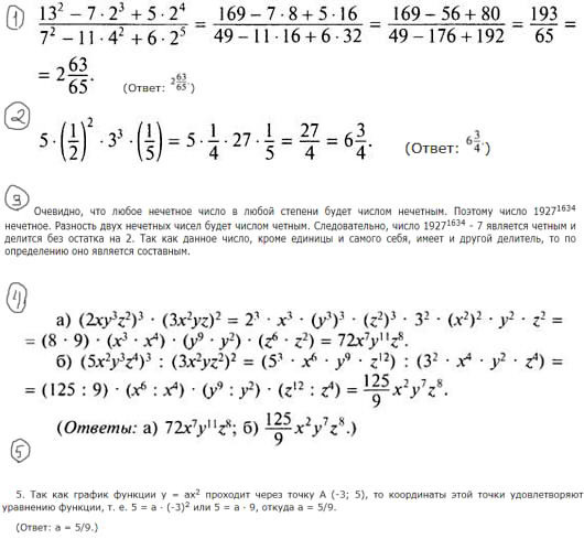
Ответы

Ответ дал: condescension
0

держи, вроде все ок ;) ;)

Приложения:
Ответ дал: lesha200182
0
пасибо огромное
Вас заинтересует