• Предмет: Алгебра
  • Автор: ledytyt13
  • Вопрос задан 8 лет назад

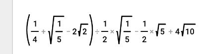
Помогите пожалуйста 8 класс

Приложения:

Ответы

Ответ дал: ZapperKhan7
0
как-то так.....................
Приложения:
Ответ дал: ledytyt13
0
Там ответ должен быть 2
Ответ дал: ZapperKhan7
0
я это в инете забил
Вас заинтересует