• Предмет: Математика
  • Автор: limon4ikk92
  • Вопрос задан 8 лет назад

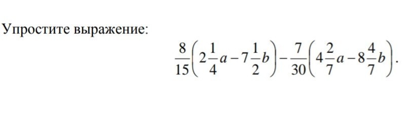
Помогите пожалуйста!математика,15 баллов

Приложения:

Ответы

Ответ дал: nuwka81
0
4/15а-12/15b-4/15a+16/15b=-4/5b
Ответ дал: limon4ikk92
0
это 100% правильно?
Вас заинтересует