• Предмет: Математика
  • Автор: artyomya1
  • Вопрос задан 8 лет назад

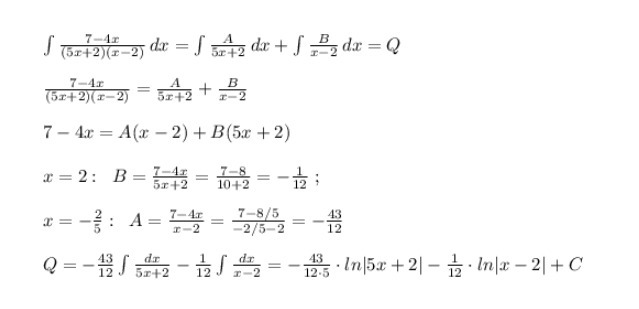
ПОМОГИТЕ РЕШИТЬ всего 1 ИНТЕГРАЛ

Приложения:

Ответы

Ответ дал: NNNLLL54
0

...........................................................................................................................................

Приложения:
Вас заинтересует