• Предмет: Математика
  • Автор: Аноним
  • Вопрос задан 8 лет назад

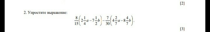
упростить выражение :
помогите пж СРОЧНО НАДО

Приложения:

Ответы

Ответ дал: AllHailMatan
0

Ответ:

0.2а - 2в

Пошаговое объяснение:

исходное выражение = 6/5а - 4в - а + 2в = 0.2а - 2в

Вас заинтересует