• Предмет: Математика
  • Автор: ома7
  • Вопрос задан 8 лет назад

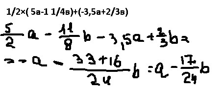
упростите выражение 1/2×( 5а-1 1/4в)+(-3,5а+2/3в)

Ответы

Ответ дал: lakOR555
0

Ответ:


Пошаговое объяснение:


Приложения:
Вас заинтересует