• Предмет: Математика
  • Автор: kristinaSK1
  • Вопрос задан 8 лет назад

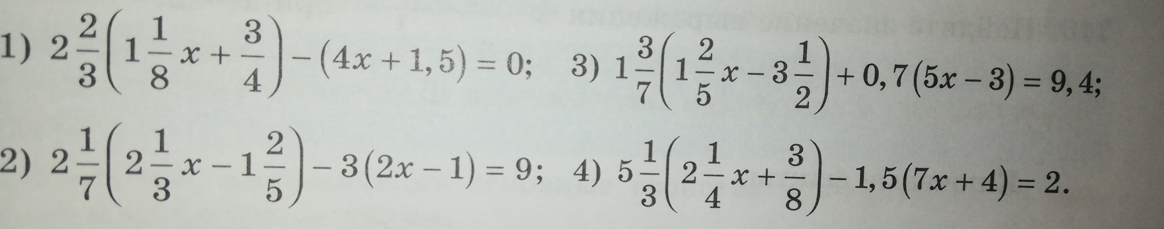
ПОМОГИТЕ ПОЖАЛУЙСТА
РЕШИТЕ УРОВНЕНИЯ
УМОЛЯЮ

Приложения:

Ответы

Ответ дал: AllHailMatan
0

Ответ:

0.5; -9; 3; 4.

Пошаговое объяснение:

1.

Исходное=3х+2-4х-1.5=0

-х+0.5=0

х=0.5

2.

Исходное=5х-3-6х+3=9

-х=9

х=-9

3.

исходное = 5х-5+3.5х-2.1=9.4

5.5х-16.5=0

х=3

4.

Исходное=12х+2-10.5х-6=2

1.5х-4=2

х=4

Вас заинтересует