Ответы
Ответ дал:
0
Пожалуйста. сделайте. только ответ, без объяснения
Приложения:

Ответ дал:
0
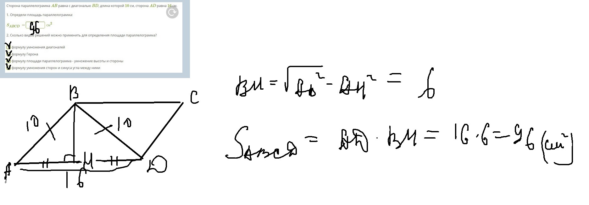
1. S=ah S=16*6=96см2
2.1)3)4)
Приложения:

Вас заинтересует
3 года назад
9 лет назад
9 лет назад
9 лет назад