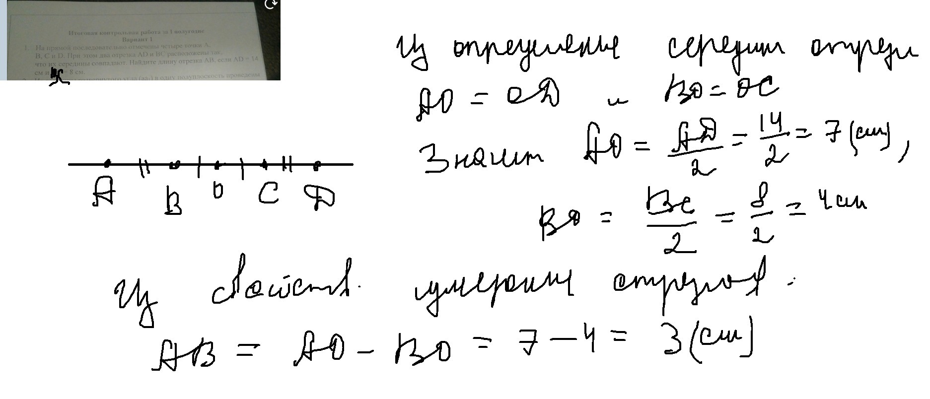
на прямой последовательно отмечены четыре точки A B C и D при этом два отрезка AD и BC расположены Так что их середины совпадают Найдите длину отрезка AB если AD равно 14 см и BC равно 8 см
Приложения:
Ответы
Ответ дал:
0
на прямой последовательно отмечены четыре точки A B C и D при этом два отрезка AD и BC расположены Так что их середины совпадают Найдите длину отрезка AB если AD равно 14 см и BC равно 8 см
Приложения:
Вас заинтересует
2 года назад
2 года назад
3 года назад
3 года назад
9 лет назад
9 лет назад
10 лет назад