• Предмет: Алгебра
  • Автор: mashakrasnova1
  • Вопрос задан 8 лет назад

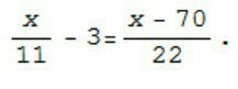
решите уравнение в закрепе

Приложения:

Ответы

Ответ дал: Alejandro2k17
0
x-33=x-70
11 22
2x-66=x-70
2x-x=-70+66
x=-4
Ответ дал: Alejandro2k17
0
Первые две строчки-дроби
Вас заинтересует