• Предмет: Математика
  • Автор: felikskotik
  • Вопрос задан 8 лет назад

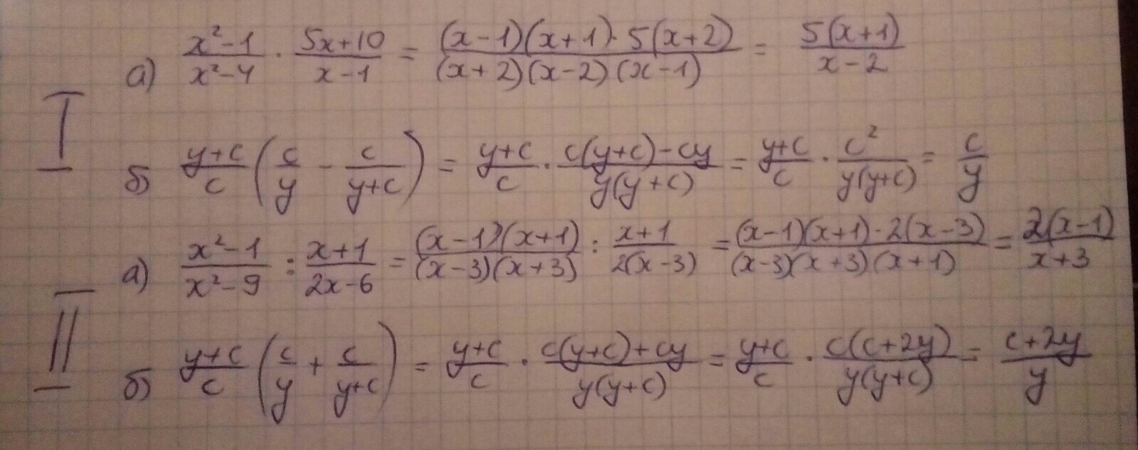
Решите пожалуйста №2! и в 1 варианте и во втором(

Приложения:

Ответы

Ответ дал: qwerasdfzxcvtgb
0
Второй вариант подошёл)
Приложения:
Ответ дал: felikskotik
0
спасибо) жду..
Ответ дал: qwerasdfzxcvtgb
0
есть
Ответ дал: felikskotik
0
Большое спасибо) выручил
Вас заинтересует