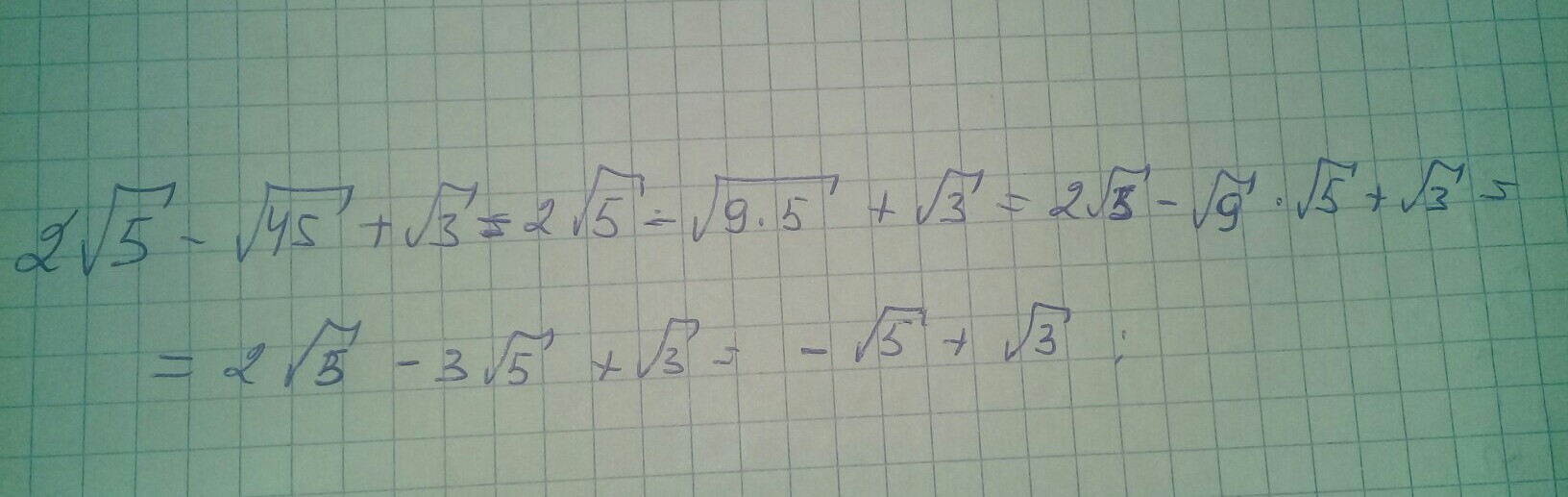
упростите выражение. Я знаю ответ, мне нужен подробный ход решения, желательно с разъяснениями. ответ остаётся в корнях. Чайник,9 класс
Приложения:

Ответы
Ответ дал:
0
................................
Приложения:

Ответ дал:
0
спасибо)
Вас заинтересует
2 года назад
3 года назад
3 года назад
9 лет назад