Ответы
Ответ дал:
0
1) решение- 9-2=7
2) решение- (2√2 + 8)-(2√2-8)= 2√2+8-2√2+8=16
3)решение- (√7-1)²=7-2√7+1
Ответ дал:
0
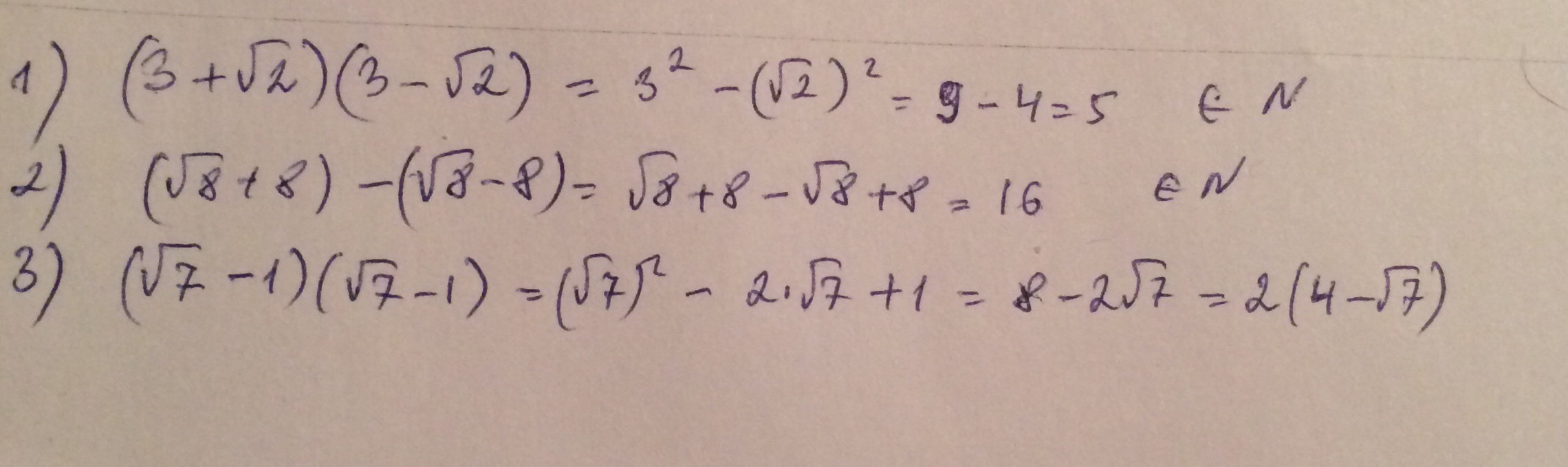
после раскрытия скобок получаем, что число под 1) равно 5; под 2) равно 16.
Числа 5 и 16 являются натуральными.
А число под цифрой 3 иррациональное.
Приложения:

Вас заинтересует
2 года назад
3 года назад
9 лет назад
9 лет назад
9 лет назад