• Предмет: Математика
  • Автор: angellll84mailru
  • Вопрос задан 8 лет назад

помогите плииз решить пример
5 класс

Приложения:

Ответы

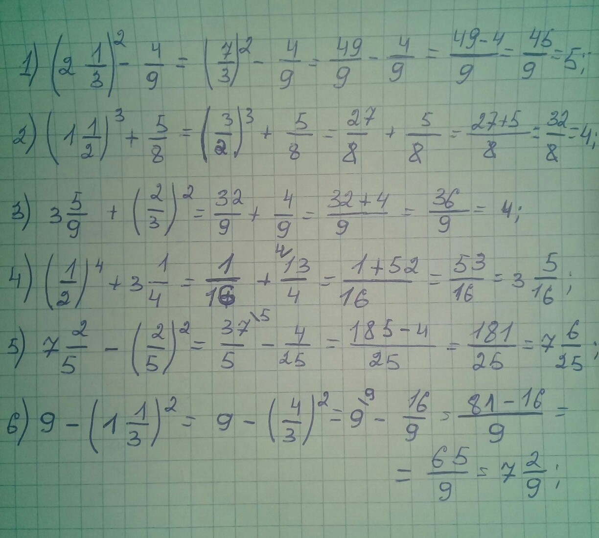
Ответ дал: dashatugumbaeva
0
вот думаю почерк поймёшь
Приложения:
Ответ дал: husniddinjumamuratov
0
давай
Ответ дал: dashatugumbaeva
0
ко мне зайди
Ответ дал: dashatugumbaeva
0
вопросы по истории
Ответ дал: dashatugumbaeva
0
там где соч
Ответ дал: husniddinjumamuratov
0
извини, этого не знаю
Ответ дал: husniddinjumamuratov
0
..............................
Приложения:
Ответ дал: angellll84mailru
0
спасибо. Я с первого примера посмотрел и всё понял. Ты красавчик!
Ответ дал: dashatugumbaeva
0
я девочка. спасибо. скачай фотомач
Ответ дал: angellll84mailru
0
спасибо фея
Вас заинтересует