• Предмет: Физика
  • Автор: valeriakuz2016
  • Вопрос задан 8 лет назад

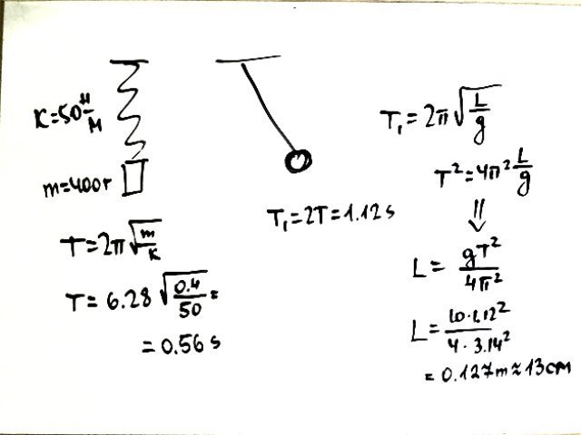
Пружинный маятник состоит из груза массой m=400 г. подвешенного к неподвижному штативу с помощью лёгкой пружины жёсткостью
k=50 H/m. Математический маятник состоит из точно такого же груза, подвешенного к тому же штативу, но уже с помощью невесомой нерастяжимой нити. Чему равна длина этой нити, если период малых колебаний пружинного маятника в два раза меньше периода малых колебаний математического маятника? Ответ выразить в см округлив до целых. Ускорение свободного падения g=10 м/с в квадрате. Считать, что каждый из грузов совершает колебания в своей вертикальной плоскости, то есть маятники не сталкиваются.

Ответы

Ответ дал: elimofetoyp1j9
0

Пружинный маятник состоит из груза массой m=400 г. подвешенного к неподвижному штативу с помощью лёгкой пружины жёсткостью

Приложения:
Вас заинтересует