Помогите срочно!!!
Сделайте в виде задачи!!!
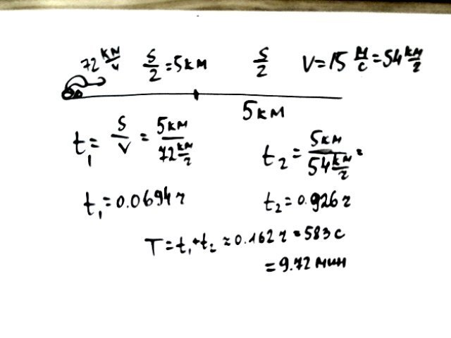
Первую половину пути автомобиль ехал со скоростью 72км/ч , а оставшиеся 5 км ехал со скоростью 15м/с .
Сколько времени автомобиль затратил на весь путь ?
Ответы
Ответ дал:
0
Сделайте в виде задачи!!!
Первую половину пути автомобиль ехал со скоростью 72км/ч
Приложения:

Вас заинтересует
2 года назад
2 года назад
3 года назад
3 года назад
9 лет назад
9 лет назад
9 лет назад