• Предмет: Физика
  • Автор: MidhaGerbEg2056
  • Вопрос задан 8 лет назад

Решите в виде задачи!!!!Даю много балов
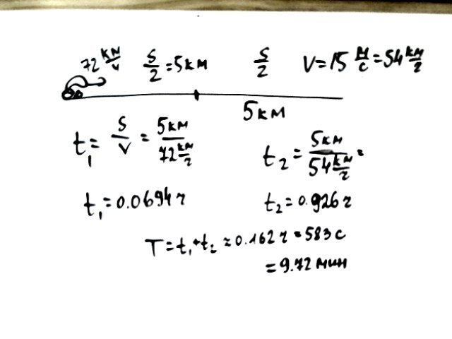
Первую половину пути автомобиль ехал со скоростью 72км/ч , а оставшиеся 5 км ехал со скоростью 15м/с .
Сколько времени автомобиль затратил на весь путь ?

Ответы

Ответ дал: borodin121121
0

5 : 72 = 5/72 (ч) - время, затраченное на первой половине пути.

15 м/с = 15 м/с * 3600 = 54 000 м/ч

1 км = 1000 м

54 000 м/ч = 54 000 м/ч : 1000 = 54 км/ч - скорость на второй половине пути.

5 : 54 = 5/54 (ч) - время, затраченное на второй половине пути.

5/72 + 5/54 = 15/216 + 20/216 = 35/216 (ч) - время, затраченное на весь путь.

Ответ: 35/216

Ответ дал: elimofetoyp1j9
0

Решите в виде задачи!!!!Даю много балов

Приложения:
Вас заинтересует