• Предмет: Физика
  • Автор: kapirova80
  • Вопрос задан 8 лет назад

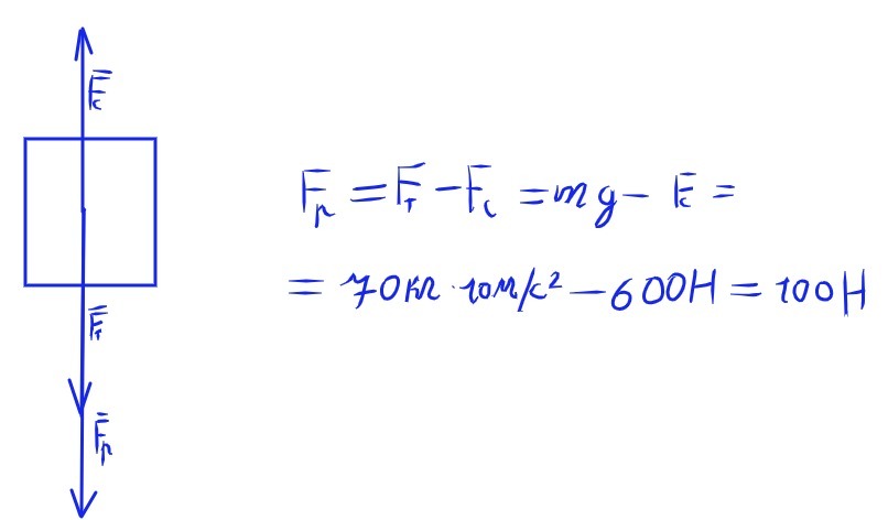
Парашютист массой 70 кг прыгнул с самолёта. Когда он раскрыл парашют , на него начала действовать сила сопротивления воздуха , равная 600 Н. Найдите равнодействующую силу.

Ответы

Ответ дал: MeDi0N
0

******************************************

Приложения:
Ответ дал: Maliby5
0

70*10=700H

700-600=100H

Ответ: 100H

Приложения:
Вас заинтересует