Ответы
Ответ дал:
0
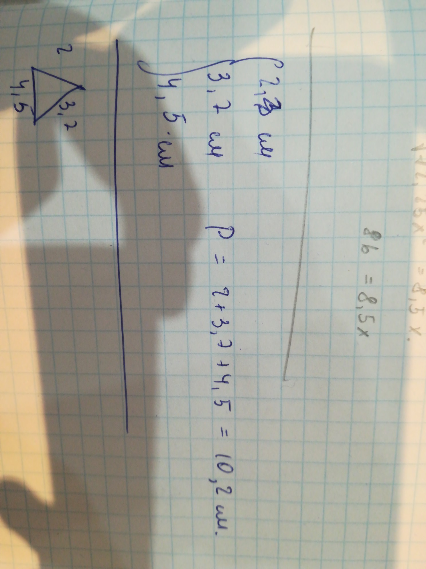
Вот, если что мм переведены в см
Приложения:

Ответ дал:
0
Ответ:
2 см+
+3 см 7мм+
+4 см 5мм=
=10см 2мм
Приложения:

Вас заинтересует
2 года назад
3 года назад
3 года назад
9 лет назад
9 лет назад
9 лет назад
9 лет назад