• Предмет: Математика
  • Автор: algalex
  • Вопрос задан 8 лет назад

помогите......................

Приложения:

Ответы

Ответ дал: gumbetovskij06
0

Ответ:

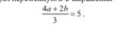
4a+2b=15.......


Пошаговое объяснение:


Ответ дал: algalex
0
спасибо
Ответ дал: gumbetovskij06
0
пж
Ответ дал: dreamSergik
0

Пошаговое объяснение:

с тем условием, которое вы нам дали, возможно сделать лишь следующее:

4a+2b=15

Ответ дал: algalex
0
спасибо
Вас заинтересует