Даю 40 баллов помогите пожалуйста!
Расстояние между двумя пристанями теплоход проходит по течению реки за 3 что, а против течения - за 3,5 что. Собственная скорость теплохода v км/ч, а скорость течения реки x км/что.
Составьте выражение по условию задачи для нахождения:
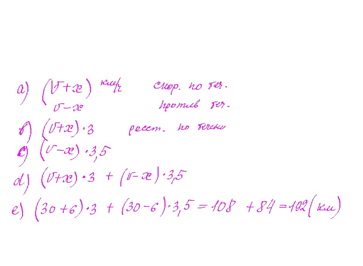
a) Скорости теплохода по течению и против течения реки?
b) Расстояния пройденного теплоходом по течению реки?
c) Расстояния, пройденного теплоходов против течения реки?
d) Общего расстояния, пройденного теплоходом по течению реки и против течения реки.
e)Используя выражение из пункта (d), найдите его значение при v = 30 км/что и x = 6км/ч.
Ответы
Ответ дал:
0
Ответ:
Пошаговое объяснение:
Приложения:

Вас заинтересует
2 года назад
2 года назад
3 года назад
9 лет назад
9 лет назад
9 лет назад