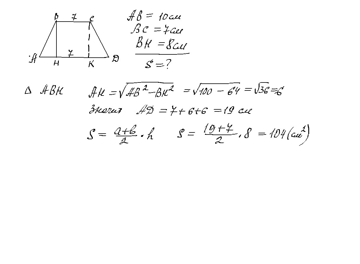
Найдите площадь равнобедренной трапеции, если ее меньшее основание равно 7 см, боковая 10см, высота 8см
Ответы
Ответ дал:
0
Ответ:
Пошаговое объяснение:
Приложения:

Вас заинтересует
2 года назад
2 года назад
3 года назад
3 года назад
9 лет назад
9 лет назад
9 лет назад