Помогите решить.
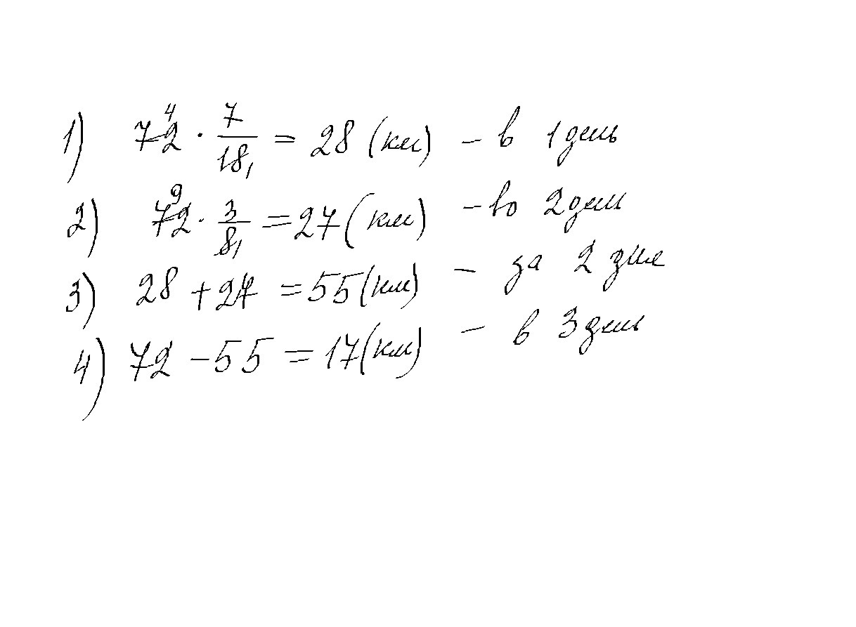
Туристы прошли 72км по местам боевой славы. В 1 - ый день они прошли семь восемнадцатых, во второй день три восьмых всего расстояния. Остальное в третий день.
Найдите его.
Ответы
Ответ дал:
0
Ответ:
Пошаговое объяснение:
Приложения:

Вас заинтересует
2 года назад
2 года назад
3 года назад
9 лет назад
9 лет назад