• Предмет: Математика
  • Автор: tureaa5
  • Вопрос задан 8 лет назад

Существует ли такое значение аргумента x ,при котором значение функции равны?

Приложения:

Ответы

Ответ дал: vavdovina55
0

Ответ:


Пошаговое объяснение:


Приложения:
Ответ дал: vavdovina55
0
не 3,75 а 2, 75 чуть ошиблась
Ответ дал: filml
0

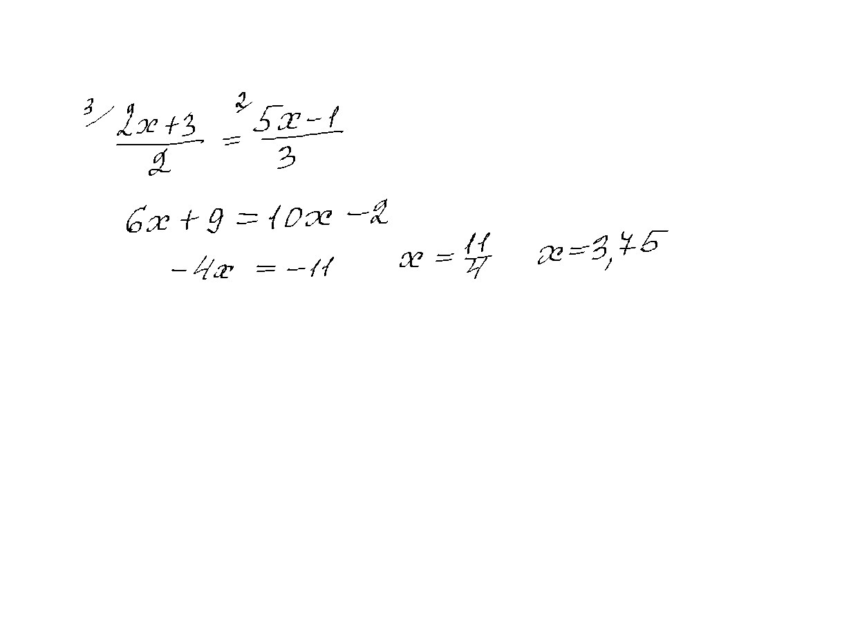
Ответ:

x = frac{11}{4} или 2.75

Пошаговое объяснение:

Приравняем 2 функции

frac{2x+3}{2} = frac{5x-1}{3}

Находим общий знаменатель. Он равен 6 (2*3) в нашем случае. В таком случаем умножаем левую функцию на 3, а правую на 2

3*(2x+3) = 2*(5x-1) (знаменатели сократились)

6x+9=10x-2

11 = 4x

x = frac{11}{4} или 2.75  

Приложения:
Вас заинтересует