Ответы
Ответ дал:
0
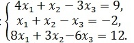
Ответ:
Пошаговое объяснение:
Вот так
Приложения:


Ответ дал:
0
Благодарю
Вас заинтересует
2 года назад
2 года назад
3 года назад
3 года назад
9 лет назад
9 лет назад