Ответы
Ответ дал:
0
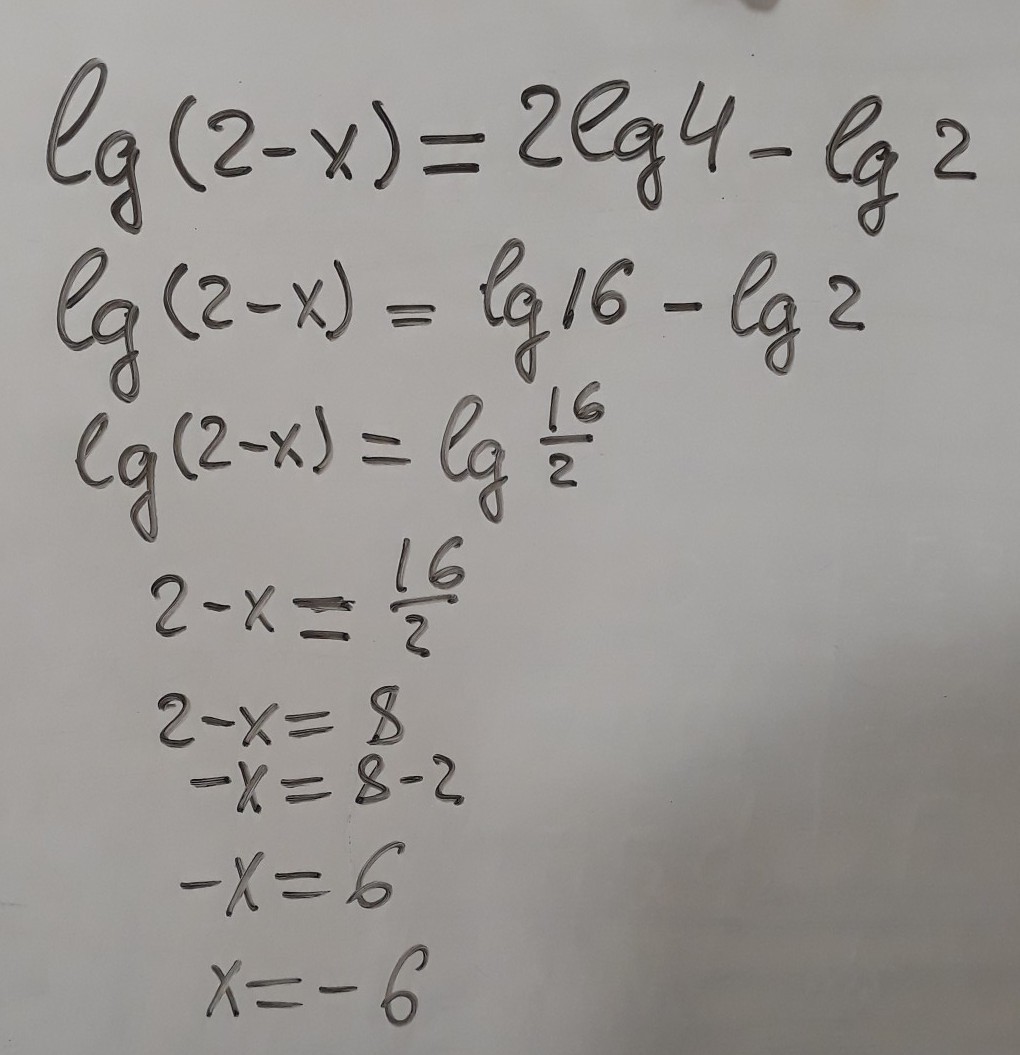
Вот ответ. Я думаю так. Отметь мой ответ лучшим пожалуйста.
Приложения:

Вас заинтересует
2 года назад
3 года назад
3 года назад
9 лет назад
9 лет назад
9 лет назад