• Предмет: Математика
  • Автор: diana5886
  • Вопрос задан 8 лет назад

помогите пожалуйста по математике дам 40 баллов

Приложения:

Ответы

Ответ дал: vavdovina55
0

Ответ:


Пошаговое объяснение:


Приложения:
Ответ дал: diana5886
0
спасибо
Ответ дал: diana5886
0
вы подробнее можно
Ответ дал: vavdovina55
0
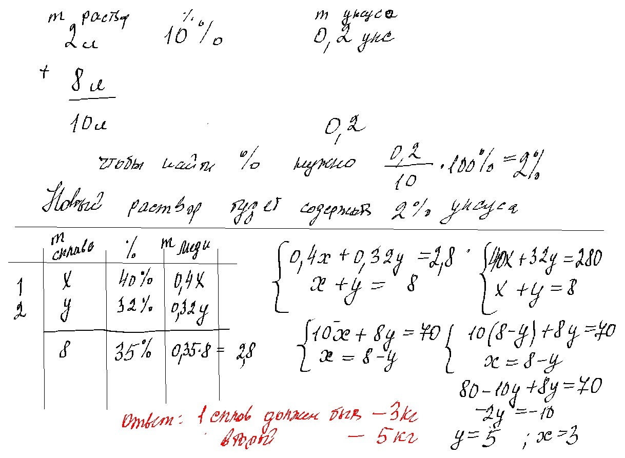
в 1 задаче: было 2 л раствора - процент уксуса - 10, значит в нем чистого уксуса было 2*0,1=0,2 потом долили 8 л воды, раствора стало 10 л , а уксуса не изменилось - 0,2. найдем отношение 0, 2/10 *100% получим 2%
Ответ дал: vavdovina55
0
во второй задаче в таблице записано условие задачи, а справа система уравнений по данному условию и ее решение
Ответ дал: diana5886
0
спасибо
Вас заинтересует