"Решение неравенств методом интерваорв"
1.Решите неравенство:
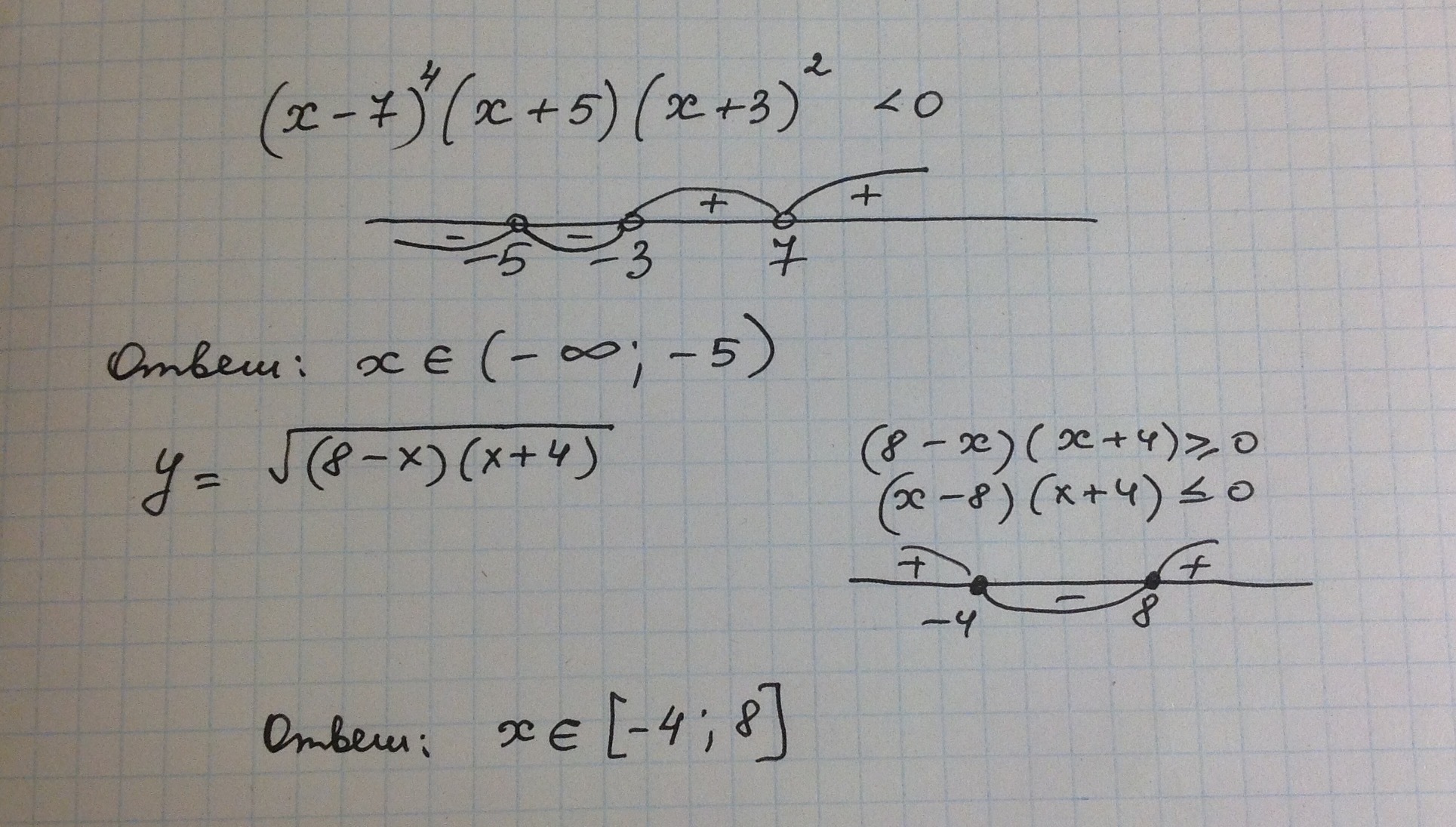
(x-7)^4(x+5)(x+3)^2<0
2.Найдите облать определения функции
y=√(8-x)(x+4)
фото для удобства:
Приложения:


Ответы
Ответ дал:
0
Ответ на фото////////////
Приложения:

Вас заинтересует
2 года назад
2 года назад
3 года назад
9 лет назад