"Решение неравенств методом интерваорв"
Найдите облаcть определения функции:
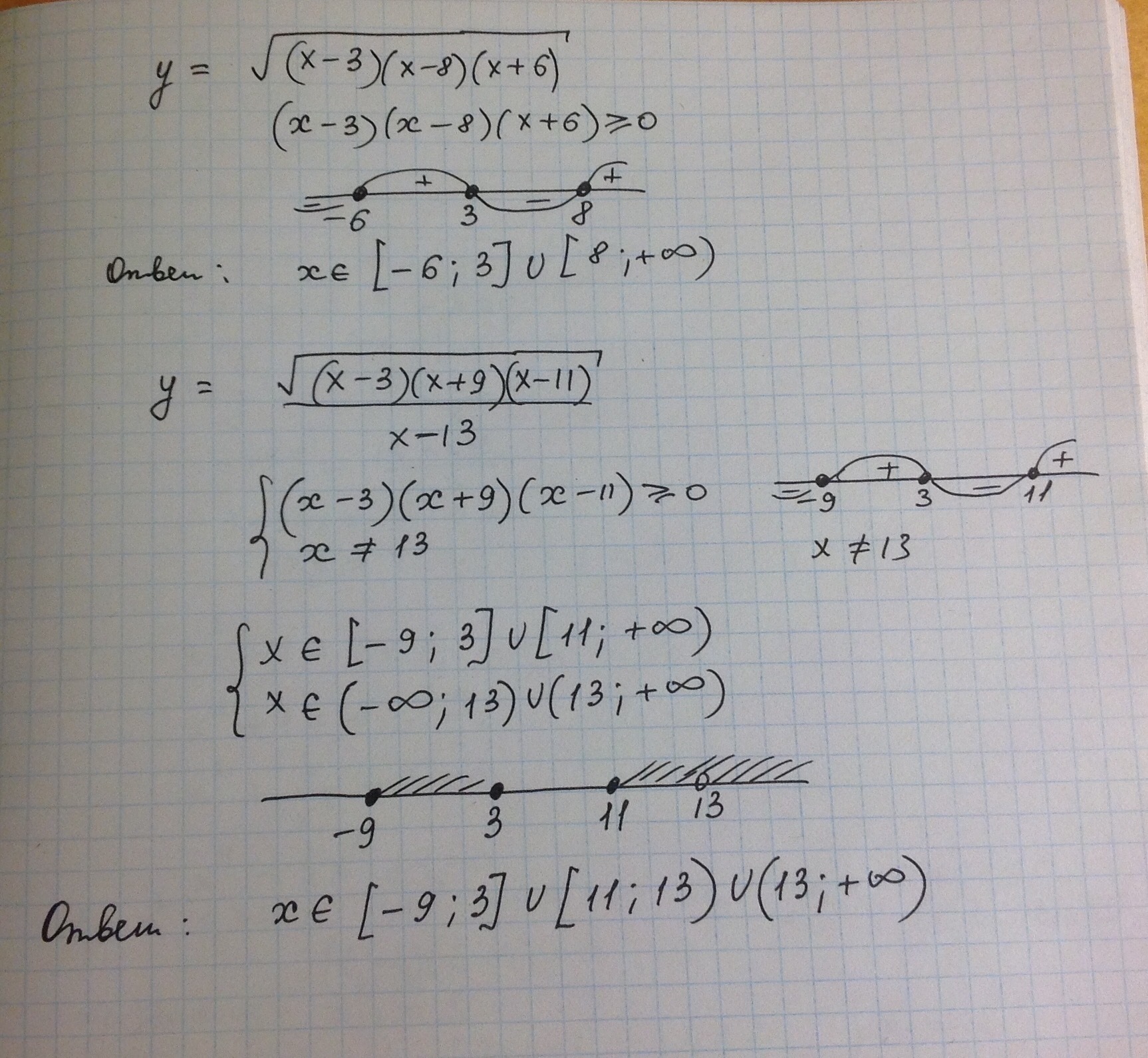
1. y=√(x-3)(x-8)(x+6)
2. y=√(x-3)(x+9)(x-11)/x-13
фото для удобства:
Приложения:

Ответы
Ответ дал:
0
Ответ на фото//////////////
Приложения:

Вас заинтересует
2 года назад
3 года назад
9 лет назад
9 лет назад
9 лет назад