• Предмет: Математика
  • Автор: Аноним
  • Вопрос задан 8 лет назад

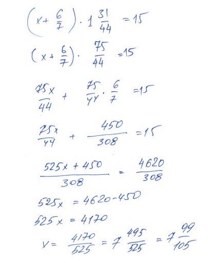
помогите решить срочно (х+6/7)×1 целая 31/44=15

Ответы

Ответ дал: Lod2000
0

Ответ:

7 99/105

Пошаговое объяснение:

Решение см. вложение

Приложения:
Вас заинтересует