Ответы
Ответ дал:
0
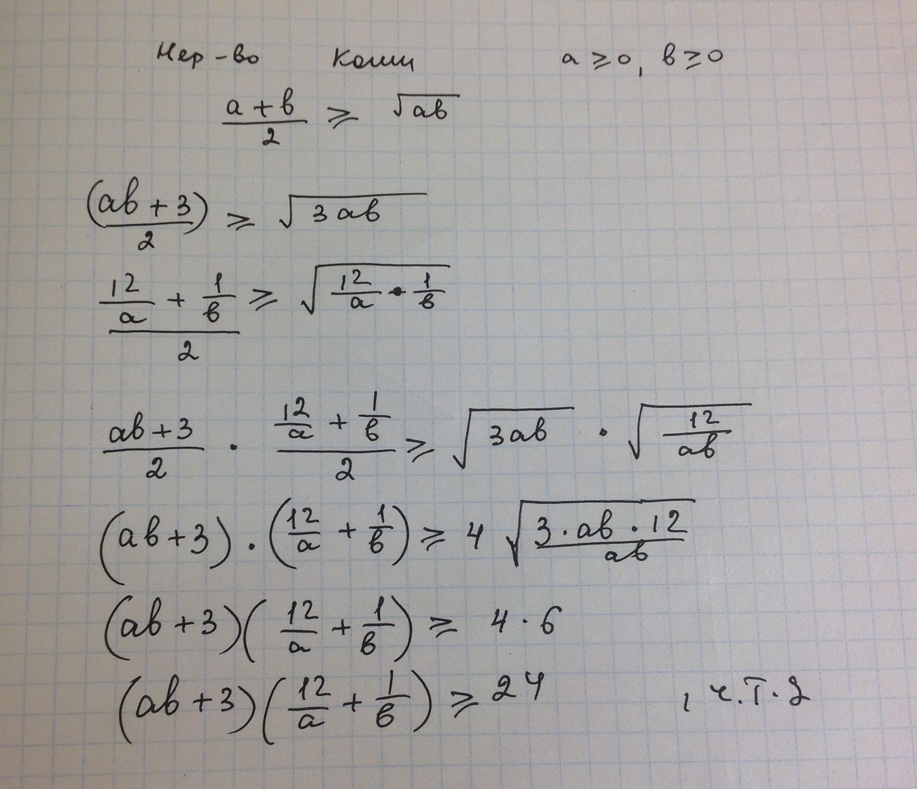
Ответ на фото///////////////
Приложения:

Ответ дал:
0
Спасибо большое
Вас заинтересует
2 года назад
3 года назад
3 года назад
9 лет назад
9 лет назад
9 лет назад