• Предмет: Алгебра
  • Автор: Blinkk
  • Вопрос задан 8 лет назад

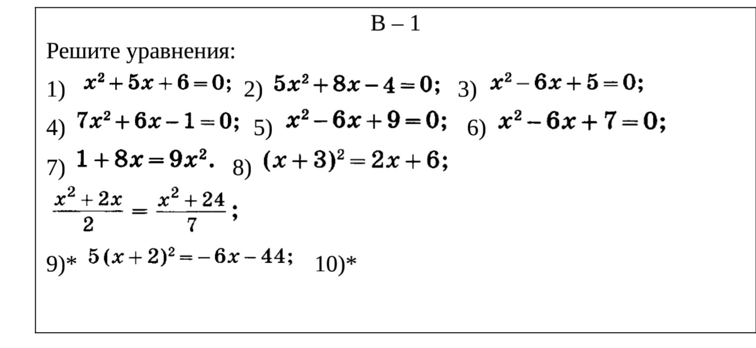
Решите пожалуйста все уравнения.

Приложения:

Ответы

Ответ дал: Ghjhjr222
0

Это же просто. Решается через дискриминант, вот формула D=b^2-4ac

Например x^2+5x+6=0

x это a, 5x - b, 6 - c

Т.е написать нужно D=5^2-4*1*6=25-24=1

D>0 => уравнение имеет 2 корня

х1,x2=(-b+-^D)/2a

x1=(-5+1)/2*1=-2

x2=(-5-1)/2*1=-3


Ответ дал: Ghjhjr222
0
Попробуй понять. Это очень лёгкая тема и я помню её даже после окончания школы.
Ответ дал: Ghjhjr222
0
Ну ладно, сделаю ещё парочку
Ответ дал: Ghjhjr222
0
Начал делать второй пример, как встретился с ошибкой в уравнении, т.е корень из дискриминанта не извлекается нацело, только дробью. Решить могу, но ответ будет неточным
Ответ дал: Blinkk
0
Ок, реши как можешь хотя бы.
Ответ дал: Blinkk
0
Решите пж
Вас заинтересует