• Предмет: Алгебра
  • Автор: lollipop0605
  • Вопрос задан 8 лет назад

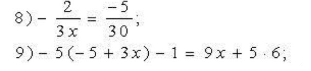
Помогите решить пожалуйста

Приложения:

Ответы

Ответ дал: sara6287
0
На первом фото 8 пример
А на втором 9
Приложения:
Вас заинтересует