• Предмет: Геометрия
  • Автор: TatyanaKhlybova
  • Вопрос задан 8 лет назад

Помогите пожалуйста :(

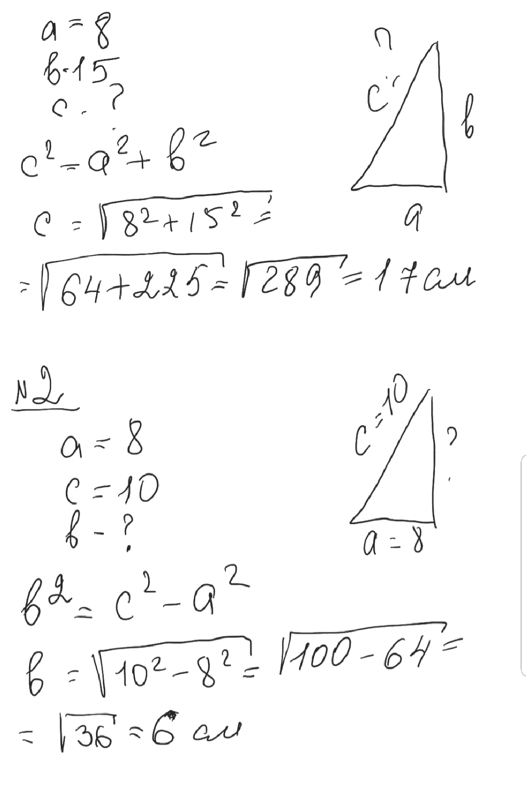
У прямоугольного треугольника заданы катеты а и b найдите гипотенузу с,если а=8, b=15

У прямоугольного треугольнмка задвны гипотенуза с и катет а.
найдите второй катет,если с=10, а=8

Ответы

Ответ дал: Elo4kaw
0

Квадрат гипотенузы равен сумме квадратов катетов

Приложения:
Вас заинтересует