• Предмет: Математика
  • Автор: smaghulov71
  • Вопрос задан 8 лет назад

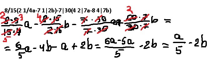
упростите выражение 8/15(2 1/4a-7 1|2b)-7|30(4 2|7a-8 4|7b)

Ответы

Ответ дал: lakOR555
0

Ответ:


Пошаговое объяснение:


Приложения:
Вас заинтересует