Ответы
Ответ дал:
0
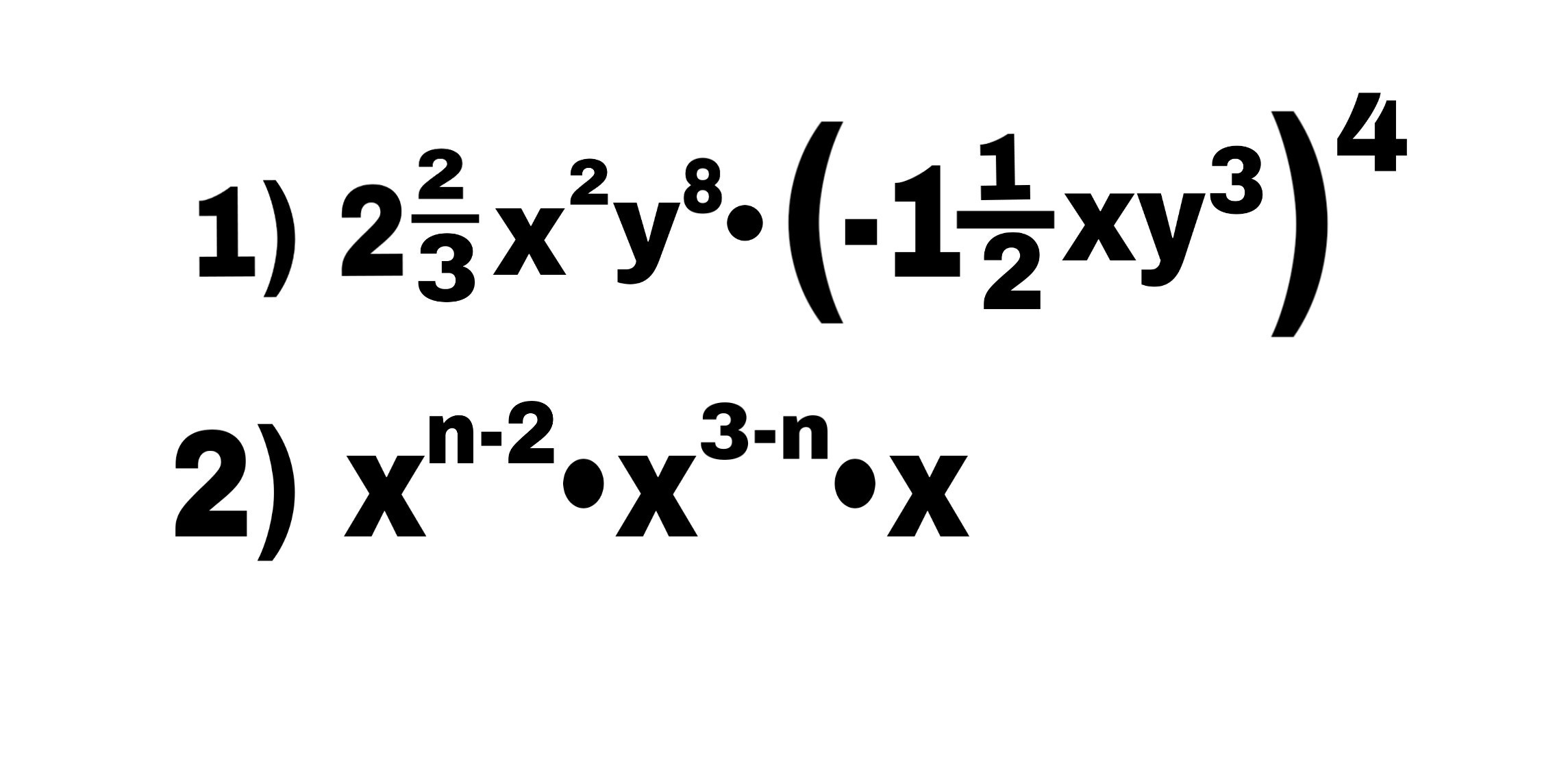
a)8/3x^2y^8*81/16x^4y^12=27/2x^6y^20
б)x^2 там n сокращается и потом нужно вычесть но тут очень легко можно без решения в "б"
"/"это дробь типа

* умножение
^степень
кстати эти 2 примера из дидактических материалов по алгебре
авто звавич контрольная 4 вариант 1 номер 6
Контрольную недавно решали:);)
б)x^2 там n сокращается и потом нужно вычесть но тут очень легко можно без решения в "б"
"/"это дробь типа
* умножение
^степень
кстати эти 2 примера из дидактических материалов по алгебре
авто звавич контрольная 4 вариант 1 номер 6
Контрольную недавно решали:);)
Вас заинтересует
2 года назад
3 года назад
3 года назад
10 лет назад