• Предмет: Алгебра
  • Автор: afiramir
  • Вопрос задан 8 лет назад

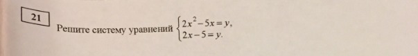
Решите систему уравнений

Приложения:

Ответы

Ответ дал: Universalka
0

left { {{2x^{2} -5x=y} atop {2x-5=y}} right.\left { {{x(2x-5)=y} atop {2x-5=y}} right.\left { {{xy=y} atop {2x-5=y}} right.\left { {{xy-y=0} atop {2x-5=y}} right.\ left { {{y(x-1)=0} atop {2x-5=y}} right.\left { {{y=0} atop {2x-5=0}} right.\ left { {{y=0} atop {x=frac{5}{2} }} right.\left { {{x=1} atop {2-5=y}} right.\ left { {{x=1} atop {y=-3}} right.\(x_{1}=2,5,y_{1}=0)\(x_{2}=1,y_{2}=-3)

Второй способ:

2x² - 5x = 2x - 5

2x² - 7x + 5 = 0

x₁ = 2,5

x₂= 1

y₁ = 2 * 2,5 - 5 = 0

y₂ = 2 * 1 - 5 = - 3

Вас заинтересует