Ответы
Ответ дал:
0
Ответ:
Пошаговое объяснение:
вот так решаются эти примеры
1) дробь переводится в неправильную
2) для сложения и вычитания дробей, они приводятся к общему знаменателю.
3) дальше выполняются действия, согласно правилам арифметики.
другие примеры уж сами посчитайте
Приложения:

Ответ дал:
0
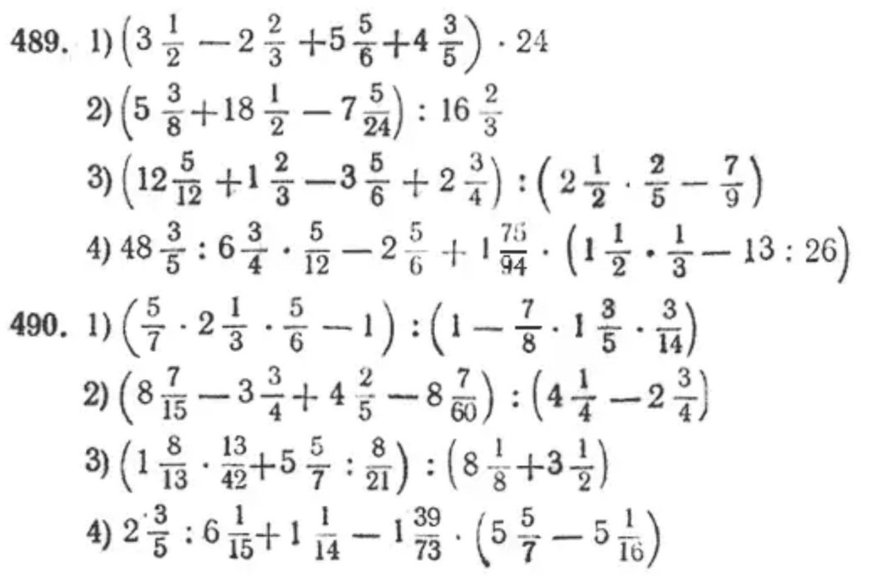
489. 1) =(7/2 -8/3+35/6+23/5)×24=169/5×8=1352/5
2)=43/6×1/16×2/3=43/144
3) =13÷(1-7/9)=13×9/2=117/2
2)=43/6×1/16×2/3=43/144
3) =13÷(1-7/9)=13×9/2=117/2
Приложения:

Вас заинтересует
2 года назад
3 года назад
9 лет назад
9 лет назад
9 лет назад