Ответы
Ответ дал:
0
Держи. Решение во вложении
Приложения:

Ответ дал:
0
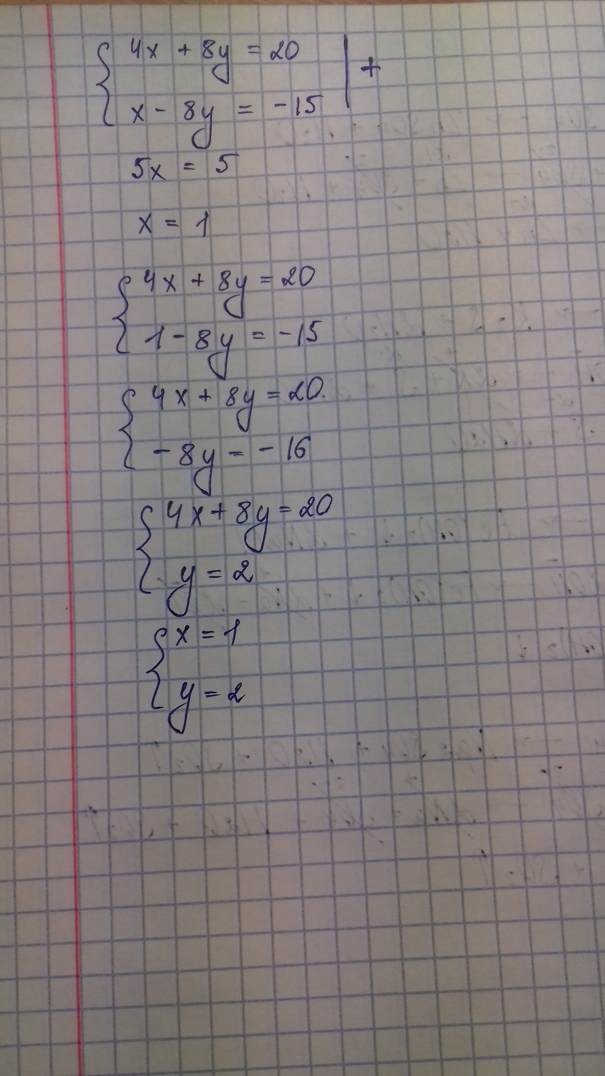
4х+8у=20
Х-8у=-15
Х=-15+8у
4*(-15+8у)+8у=20
-60+32у+8у=20
40у=20+60
40у=80
У=80:40
У=2
Х=-15+8*2=-15+16=1
Ответ:(1;2)
Приложения:

Вас заинтересует
2 года назад
2 года назад
3 года назад
3 года назад
9 лет назад
9 лет назад