• Предмет: Математика
  • Автор: varr88
  • Вопрос задан 8 лет назад

СРОЧНО!
Производные
1 курс Высш.математика

Приложения:

Ответы

Ответ дал: Miroslava227
0
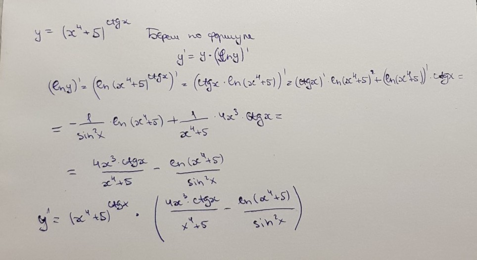
решение на фотографии
Приложения:
Ответ дал: varr88
0
но тут одно задание,так ведь?(
Ответ дал: Miroslava227
0
о, нда, прошу прощения, не открыла фотографию. сейчас все сделаем
Ответ дал: varr88
0
спасибо <3
Ответ дал: varr88
0
на счёт 3-его задания,не поможете? где предел
Вас заинтересует